186-0123-0256
网站首页
关于我们
公司简介
荣誉资质
合作伙伴
工厂实拍
产品展示
直流电动推杆
交流电动推杆
伺服电动缸
蜗轮丝杆升降机
电液推杆
同步运动平台
专用电动推杆
进口电动推杆
微型电动液压电动缸
非标定制产品
应用领域
资讯动态
公司动态
行业资讯
下载中心
联系我们
产品展示
/ Product
直流电动推杆
交流电动推杆
伺服电动缸
蜗轮丝杆升降机
电液推杆
同步运动平台
专用电动推杆
进口电动推杆
微型电动液压电动缸
非标定制产品
联系我们
/ contact us
咨询热线
186-0123-0256
北京总部
孙涛:186-0123-0256
孙浩:173-0135-2187
座机:010-53393028
企业邮箱:zdhlkj@163.com
地址:北京市通州区九棵树街道金成中心1607
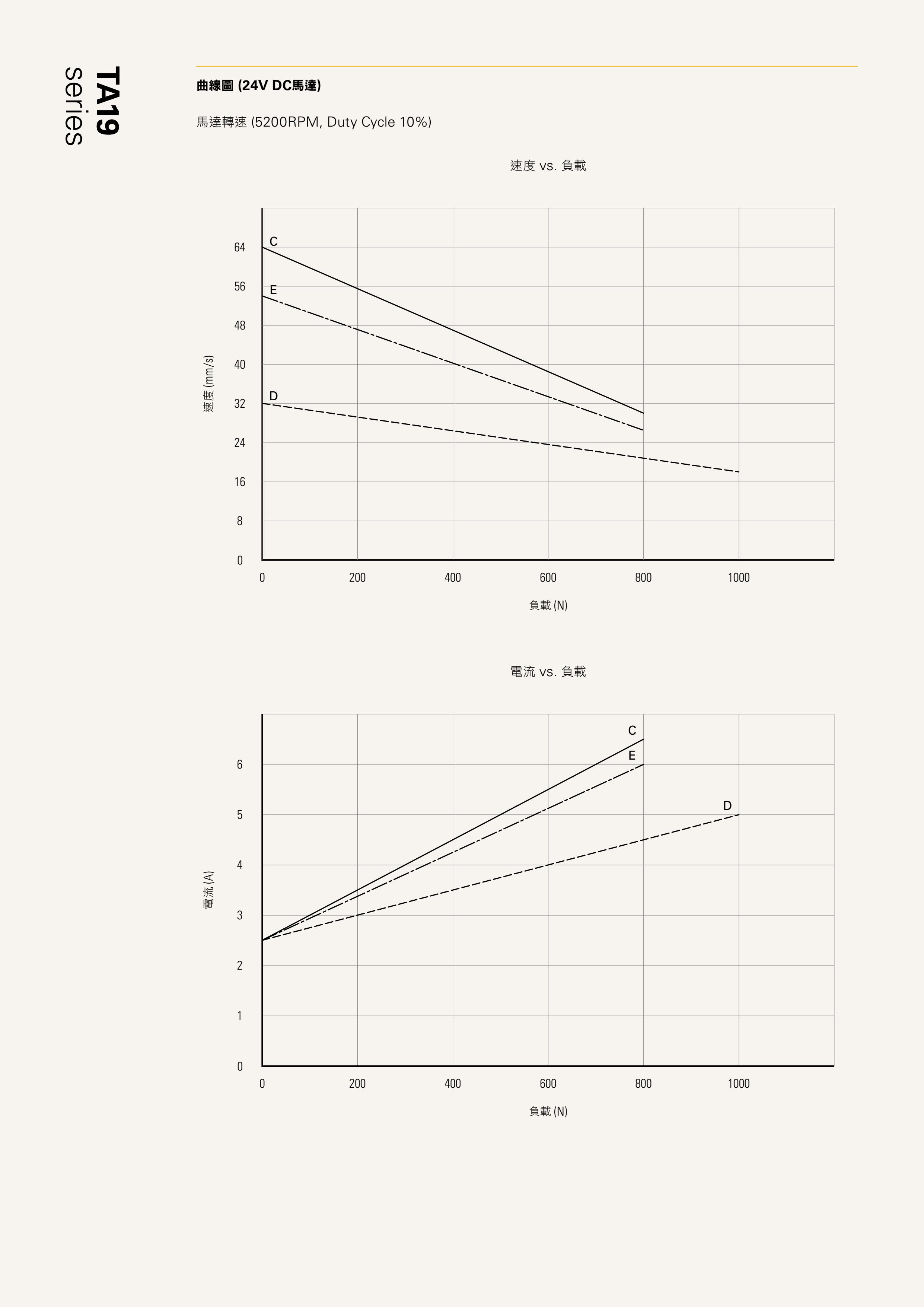
进口电动推杆
您当前的位置:
首页
> 产品展示 > 进口电动推杆
TA19
详细信息
技术参数
电话
首页
二维码
联系电话:
186-0123-0256
010-53393028
173-0135-2187